Natural-Orbital-Based Neural Network Configuration Interaction
We are very happy to announce another arXiv preprint together with our Icelandic colleagues: This work introduces a simple yet powerful extension to Neural-Network Configuration Interaction (NNCI) by incorporating natural orbitals (NOs)—the eigenfunctions of the one-particle density matrix—as an optimized single-particle basis. The study demonstrates that even approximate NOs, derived from intermediate many-body solutions, dramatically enhance the efficiency of neural-network-assisted CI calculations across diverse molecular systems.
Key insights:
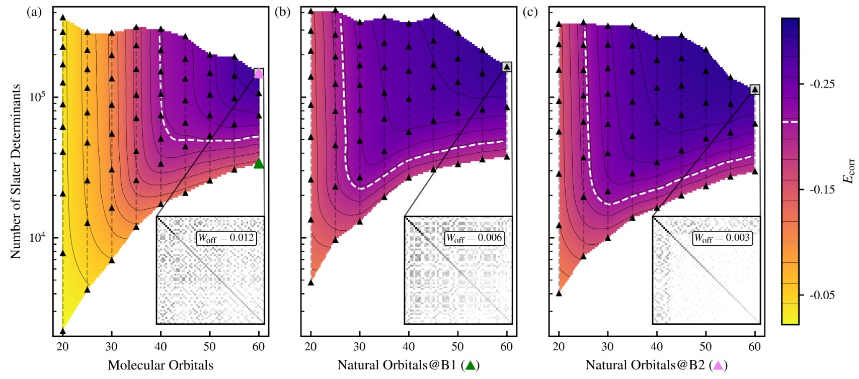
- Concept: Natural orbitals redistribute electronic correlation into fractional occupations, leading to more compact wave function expansions than canonical Hartree–Fock orbitals.
- Methodology: Approximate NOs are constructed from intermediate NNCI ground-state solutions and used to restart the selection process in the rotated basis.
- Results: Benchmarks for H₂O, NH₃, CO, and C₃H₈ show consistent improvements in correlation energy and determinant efficiency.
- For instance, in C₃H₈, the energy improves from –0.2895 Ha (Hartree–Fock orbitals) to –0.2954 Ha with NOs, while requiring fewer determinants.
- Similar efficiency gains are seen for NH₃ (–0.2256 Ha) and CO (–0.3122 Ha).
- Figures 1–4 visualize these gains, showing correlation energy color maps vs. determinant and orbital counts, with reduced off-diagonal weights (W_\text{off}) indicating more optimal orbital bases.
The findings provide a drop-in strategy to improve ML-accelerated CI workflows — yielding higher accuracy with fewer determinants.
Authors: Louis Thirion, Yorick L.A. Schmerwitz, Max Kroesbergen, Gianluca Levi, Elvar Ö. Jónsson, Pavlo Bilous, Hannes Jónsson, and Philipp Hansmann
Date: November 3, 2025
arXiv: https://arxiv.org/abs/2510.27665
